Influencia de las venas colaterales en la medición del flujo del acceso vascular medicante ecografía y termodilución: estudio observacional

Francisco Javier Rubio-Castañeda1,2, Manuel Fernández-Núñez2, Ana Isabel Sierra-Sánchez2, Víctor Cantín-Lahoz1,2, Emilia Ferrer-López1,2, María Amaya Mateo-Sánchez2

1 Instituto de Investigación Sanitaria de Aragón. Grupo de Investigación en Nefrología y Trasplante Renal (GINETE). España
2 Unidad de Hemodiálisis y Trasplante Renal del Hospital Universitario Miguel Servet. Zaragoza. España

https://doi.org/10.37551/52254-28842022033

Como citar este artículo:
Rubio-Castañeda FJ, Fernández-Núñez M, Sierra-Sánchez AI, Cantín-Lahoz V, Ferrer-López E, Mateo-Sánchez MA.
Influencia de las venas colaterales en la medición del flujo del acceso vascular medicante ecografía y termodilución: estudio
observacional. Enferm Nefrol 2022;25(4):330-6

Correspondencia:
Francisco Javier Rubio Castañeda
E–mail: fjrubio.due@gmail.com

Recepción: 29-08-2022
Aceptación: 17-10-2022
Publicación: 30-12-2022

RESUMEN

Introducción: La ecografía doppler y métodos dilucionales permiten monitorizar el flujo del acceso vascular. La presencia de venas colaterales podría influir en la determinación del flujo del acceso vascular.

Objetivo: Determinar la influencia de las venas colaterales en la medición del flujo del acceso vascular por ecografía doppler y por el método de termodilución.

Material y Método: Estudio observacional y prospectivo. Se seleccionaron las fístulas arteriovenosas nativas que cumplían los criterios de selección. Se realizó una medición anual del flujo del acceso vascular mediante ecografía-doppler y 2 mediciones trimestrales de termodilución (termodilución-1 y termodilución-2). Para determinar la presencia de venas colaterales se empleó el ecógrafo.

Resultados: Se analizaron 38 fístulas arteriovenosas nativas. Los hombres representaban el 78,9% de la muestra. El 23,6% presentaban venas colaterales. Analizando la totalidad de la muestra, se obtuvo correlación lineal entre los flujos por ecografía-doppler con los de termodilución-1 (0,694) y con termodilución-2 (0,678), ambas p<0,001. Al estratificar por venas colaterales, se observó correlación significativa entre ecografía-doppler con termodilución-1 (0,698) y termodilución-2 (0,696) ambas significativas (p<0,001) cuando no existían venas colaterales, correlación no significativa cuando si había venas colaterales.

Conclusiones: Existe correlación entre la medición del flujo del acceso vascular obtenido por ecografía-doppler y termodilución; la presencia de venas colaterales modifica esta relación. Es necesario implementar programas de vigilancia del acceso vascular que incluyan diferentes métodos de monitorización, para mitigar el efecto que las venas colaterales tienen en la determinación del flujo del acceso vascular.

Palabras clave: Acceso vascular; flujo del acceso vascular (QA); fístula arteriovenosa nativa; ecografía-doppler; termodilución; venas colaterales.

ABSTRACT

Influence of collateral veins on vascular access flow measurement using ultrasound and thermodilution: Observational study

Introduction: Doppler ultrasound and dilutional methods allow monitoring of vascular access flow. The presence of collateral veins may influence the determination of vascular access flow.

Objective: To determine the influence of collateral veins on the vascular access flow measurement by Doppler ultrasound and by the thermodilution method.

Material and Method: Observational and prospective study. Native arteriovenous fistulas that met the selection criteria were selected. An annual measurement of vascular access flow by Doppler ultrasound and two quarterly thermodilution measurements (thermodilution-1 and thermodilution-2) were performed. Ultrasound was used to determine the presence of collateral veins.

Results: Thirty-eight native arteriovenous fistulae were analysed. Males accounted for 78.9% of the sample. Collateral veins were present in 23.6% of cases. Analysing the whole sample, a linear correlation was obtained between ultrasound-Doppler flows with thermodilution-1 (0.694) and thermodilution-2 (0.678), [both p<0.001]. When stratified by collateral veins, when no collateral veins were present, there was a significant correlation between Doppler ultrasound with thermodilution-1 (0.698) and thermodilution-2 (0.696) [both p<0.001)]; whereas the correlation was non-significant when collateral veins were present.

Conclusions: There is correlation between vascular access flow measurement obtained by Doppler ultrasound and thermodilution; the presence of collateral veins modifies such relationship. It is necessary to implement vascular access surveillance programs that include different monitoring methods in order to mitigate the effect of collateral veins on vascular access flow determination.

Keywords: vascular access; vascular access flow (QA); native arteriovenous fistula; doppler ultrasound; thermodilution; collateral veins.

INTRODUCCIÓN

La fístula arteriovenosa (FAV) es el acceso vascular de elección para el tratamiento de hemodiálisis (HD). Para detectar precozmente problemas en las FAV es fundamental realizar un seguimiento y monitorización de estos accesos vasculares. La estenosis, que es una disminución del diámetro del vaso sanguíneo, es la causa más frecuente de disfunción de las FAV, se consideran significativas cuando la reducción de la luz vascular es superior al 50%. La principal complicación de las FAV es la trombosis que es la oclusión total o parcial de la FAV como consecuencia de la formación de un coagulo. Las principales causas de trombosis son las estenosis venosas significativas, que suponen un 80-90% de los casos, siendo el resto de las causas: estenosis arteriales, hipotensión, valores elevados de hematocrito, hipovolemia y estados de hipercoagulabilidad. La trombosis de las FAV va a ocasionar un incremento de las hospitalizaciones, morbimortalidad y del gasto sanitario1.

Las unidades de HD deben disponer de programas de monitorización de FAV que permitan un diagnóstico precoz de estenosis. Estos programas deben desarrollarse de forma sistemática, protocolizada y con participación multidisciplinar, y pueden incluir métodos de primera y segunda generación1. El uso simultáneo de varios métodos de monitorización aumenta el rendimiento del programa de seguimiento debido a que cada método está diseñado para localizar estenosis en una determinada localización1. La efectividad de estos programas debe orientarse a la vigilancia periódica del acceso vascular, a la reducción de las tasas de trombosis y a evitar la colocación de catéteres venosos centrales 2,3.

Los métodos de primera y de segunda generación son eficaces para la vigilancia, monitorización y reducción de la incidencia de trombosis de FAV nativas. Ambos métodos permiten la detección de estenosis en las FAV nativas, sin embargo, solo los métodos de segunda generación, ecografía doppler (ED) y los métodos dilucionales, permiten calcular el flujo del acceso vascular (QA)1. Los métodos dilucionales calculan el QA de forma indirecta al cuantificar la diferencia de recirculación existente antes y después de la dilución de un determinado indicador (hematocrito o temperatura), con o sin inversión de líneas1. Mientras que la ED permite calcular el QA de forma directa sobre la arteria braquial del paciente1. Ambos métodos se pueden aplicar simultáneamente, existiendo evidencia de una correlación significativa entre el QA obtenido por ED con el QA obtenido por varios métodos dilucionales4-6.

La termodilución (TD) es uno de los métodos dilucionales más extendidos por su facilidad de medición al no depender de ningún aparataje adicional2. La TD se realiza a través de un biosensor integrado en las máquinas de hemodiálisis que permite medir la temperatura de las líneas arterial y venosa, y calcular así el porcentaje de recirculación con líneas normales e invertidas. Posteriormente, estos valores se introducen junto con otros parámetros en una ecuación matemática descrita y validada por Schneditz et al. para obtener el QA7,10.

Las venas colaterales (VC) son venas que nacen de la vena arterializada y que con frecuencia suelen ser visibles mediante la inspección de la fístula. Asimismo, se pueden detectar mediante ecografía y por el test de oclusión secuencial1. No se ha encontrado bibliografía que aborde el efecto que tienen las VC en la determinación del QA mediante los métodos de segunda generación.

Por lo tanto, el objetivo de nuestro estudio fue determinar cuál es la influencia de las VC en la medición del QA por ED y por el método de TD.

MATERIAL Y MÉTODO

Diseño y ámbito del estudio
Se ha llevado a cabo un estudio observacional y prospectivo, en la unidad de hemodiálisis del Hospital Universitario Miguel Servet de Zaragoza, desde diciembre de 2021 hasta abril de 2022.

Población, muestra y criterios de exclusión
Se incluyeron en el estudio a todos los pacientes en programa de HD crónica con FAV nativas funcionantes. Como criterios de exclusión se incluyeron: FAV nativas en las que no fuese posible puncionar ambas agujas en la misma vena, FAV nativas con HD en unipunción, y FAV nativas donde no se pudiera alcanzar un flujo de bomba (QB) de 300 ml/min1,3.

Se obtuvo una muestra total de 38 pacientes, con una edad media de 63,5±13,2 años, siendo 30 hombres (78,9%) y 8 mujeres (20,1%).

Variables del estudio y determinaciones
Las principales variables de estudio fueron el flujo del acceso vascular, variables sobre las FAV nativas (tiempo de permanencia del acceso vascular, tipo de acceso vascular y QA) y variables sociodemográficas (edad y sexo). Para la medición del flujo del acceso vascular se utilizaron métodos de segunda generación: ED y TD.

Para obtener el QA mediante TD es necesario medir el porcentaje de recirculación sanguínea con líneas invertidas y con líneas en posición normal. Para calcular este parámetro, se empleó el monitor de temperatura sanguínea BTM (Blood Temperature Monitor) incorporado en los monitores de hemodiálisis Fresenius 50087,9. Para determinar la recirculación sanguínea, el monitor produce un bolo térmico que varía la temperatura del líquido de diálisis en 2 grados1,8; este cambio de temperatura es detectado inicialmente por el sensor de temperatura de la línea venosa, y dependiendo de la variación de la temperatura que se produce en la línea arterial, calcula el porcentaje de recirculación.

Tras obtener los porcentajes de recirculación sanguínea con líneas invertidas y en posición normal, se aplicaba la siguiente ecuación matemática para calcular el QA:

Para la correcta obtención de los valores de recirculación, es preciso mantener constantes durante todo el tiempo de la determinación tanto QS como TUF1,7-10.

Todas las determinaciones se realizaron en la segunda sesión de HD semanal, y en los primeros 60 minutos del tratamiento de HD1,3. Primero se efectuó la medición del porcentaje de recirculación con líneas invertidas y después con líneas normales7. Durante la medición se programaba el QB a 300 ml/min1,3 (valor dentro del rango recomendado 200-350ml/min)2, el flujo de baño a 500 ml/min3, y se mantuvo una tasa de ultrafiltración constante para evitar influencias en la medida del QA producidas por los cambios de volemia7,9. Asimismo, si el paciente tenía pautada terapia de hemodiafiltración en línea postdilucional, el día de la medición iniciaba la sesión en hemodiálisis convencional, y tras las mediciones se programaba la terapia pautada8. Las punciones arterial y venosa se efectuaron en dirección anterógrada, la distancia entre las agujas fue la misma en cada medición7,9 y se puncionó con el bisel hacia abajo según las últimas recomendaciones7,9,11. Las mediciones fueron realizadas por todo el personal de enfermería de nuestra unidad.

Para obtener el QA mediante ED se utilizó un ecógrafo modelo Hitachi-Aloka F31 que permite la realización de ecografía en modo blanco y negro, doppler color y doppler espectral. Las ecografías se realizaron en la sala de HD antes de la conexión de los pacientes. Todas las mediciones las realizó un único enfermero experto en ecografía del acceso vascular. Primero, se realizó una exploración transversal y longitudinal de la fístula en modo blanco y negro valorando su morfología, posteriormente se realizó una exploración con doppler en color para detectar posibles zonas de cambios significativos de velocidad y, por último, se midió el QA empleando la ED. Para obtener el QA, se realizaban tres mediciones en la arteria braquial del paciente y se calculaba la media12,13. Asimismo, se midió la longitud de la anastomosis, el diámetro del vaso de la fístula y el índice de resistencia. También se registraba la presencia de venas colaterales y estenosis, si aparecían estas últimas se medían diámetros pre-post estenosis y la velocidad pico sistólica en esos mismos lugares.

La frecuencia de medición del QA establecida fue trimestral para la TD y anual para la ED1,14, realizándose la medición anual del QA y la primera medición de TD al iniciar el programa piloto (diciembre de 2021). Para el desarrollo del presente estudio se emplearon los valores correspondientes a la medición anual mediante ED y a 2 mediciones trimestrales de TD.

Aspecto éticos y legales
Todos los pacientes con FAV nativas que cumplían los criterios establecidos en este estudio fueron informados de forma verbal en la sala de hemodiálisis, asimismo se les facilito esta información de forma escrita. Todos ellos dieron su consentimiento y accedieron a participar. Se obtuvieron los permisos necesarios a nivel hospitalario y del Comité de Ética de la Investigación de la Comunidad de Aragón (CEICA) con número de referencia CP-CI PI121/356.

Análisis estadístico
Para el análisis estadístico se empleó el programa Jamovi versión 2.2.5. Se realizó un análisis descriptivo de las variables mediante medidas de tendencia central (media y mediana) y medidas de dispersión (desviación estándar [DE] y rango intercuartílico [RI]), según siguieran o no una distribución normal. Se utilizó el test de Shapiro-Wilk para analizar la normalidad. Para estudiar la relación entre las variables se atendió al criterio de no normalidad, y se aplicó el coeficiente de correlación de Spearman para el análisis correlacional. Además, se realizó el análisis correlacional estratificando por VC. Se entendió significación estadística con p=0,05. Además, se creó una variable para medir la variación entre las dos mediciones de la TD. Para desarrollar esta variable se calcularon las diferencias entre las dos mediciones trimestrales realizadas, comparando la primera medición de la TD (periodo de referencia) con la segunda medición de la TD.

RESULTADOS

En el total de la población estudiada (n=38), el tiempo de permanencia del acceso vascular fue de 116 ± 70,8 meses y según el tipo de acceso vascular: 23 (60,5 %) eran fístulas radio-cefálicas, 12 (31,5%) humero-cefálicas y 3 (8%) humero-basílicas. Las venas colaterales estaban presentes en 9 pacientes (23,6%).

La mediana del QA fue: 953 ml/min (RI:718-1245) para la medición por ED (ECO_QA), 1005 ml/min (RI:665-1429) para la primera medición por TD (DL1_QA), y 995 ml/min (RI:649-1475) para la segunda medición por TD (DL2_QA). La media de la variable creada para medir la variación entre las dos mediciones trimestrales llevadas a cabo por TD (DL2-DL1) fue de -13,8±224 ml/min.

De todas las variables numéricas que cuantificaban el QA de las FAV nativas, la única que cumplía criterios de normalidad fue la variable DL2-DL1.

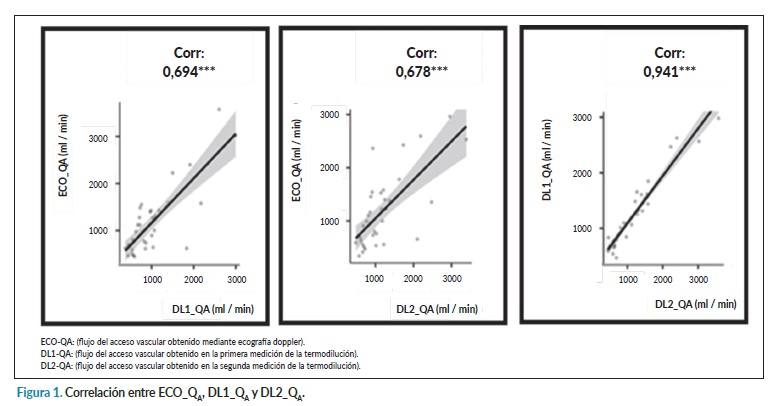
Al analizar la totalidad de la muestra, se observó correlación lineal empleando el coeficiente de Spearman entre ECO_QA con DL1_QA (r=0,694) y entre ECO_QA con DL2_QA (r=0,678), ambas p<0,001. Asimismo, se encontró correlación lineal entre DL1_QA con DL2_QA (r=0,941) con p<0,001 (figura 1).

Estratificando por VC, la correlación entre ECO_QA con DL1_QA y DL2_QA se modifica (figura 2). La correlación era significativa con p<0,001 entre ECO_QA con DL1_QA (r=0,698) y DL2_QA (r=0,696) cuando no existen VC, cuando había VC la correlación entre ECO_QA con DL1_QA (r=0,667) y DL2_QA (r=0,548) era no significativa (tabla 1).

Para el total de la muestra, no existía correlación estadísticamente significativa empleando el coeficiente de Spearman entre DL2-DL1 con la variable ECO_QA (r=0,065). Al estratificar por VC, se observó que en pacientes con VC la relación entre la variable ECO_QA con la variable DL2-DL1 presentaba una correlación directa positiva (r=0,550) con p= 0,389. Sin embargo, en los pacientes que no tienen VC esta correlación fue inversa (r=-0,142). En ambos casos la p valor fue no significativa (figura 3).

DISCUSIÓN

Uno de los factores clave para la supervivencia de los accesos vasculares es la monitorización y vigilancia periódica porqué permite detectar precozmente estenosis. La determinación del QA mediante ED y TD ha demostrado ser una herramienta útil en la vigilancia de las FAV nativas. A pesar de la gran empleabilidad de ambos métodos de monitorización en las unidades de HD y de la existencia de venas colaterales en algunos pacientes portadores de FAV nativas, existe escasa información sobre si las VC son un factor condicionante en la obtención del QA. Esta circunstancia ha generado una necesidad de conocimiento sobre el efecto de las VC en la obtención del QA por ED y TD1-3,6.

Los valores del QA obtenidos en las FAV nativas mediante el método de TD comparados con el QA obtenido mediante la ED han mostrado una buena correlación lineal, observando que al aumentar la variable ECO_QA aumentan las variables DL1_QA y DL2_QA. Estos datos concuerdan con los obtenidos por Ibeas et al.1, Fontseré et al.3, Sacquépée et al.6, quienes indican que existe una equivalencia entre los QA obtenidos por ED y los obtenidos mediante la TD. No obstante, las guías europeas no especifican una clara preferencia por ninguno de los métodos dilucionales debido a que otros métodos dilucionales como la dilución por ultrasonidos o el Delta-H han obtenido resultados similares1.

En los pacientes con VC, la correlación entre la variable ECO_QA con las variables de la TD (DL1_QA y DL2_QA) pierde su significación estadística. Asimismo, en la relación entre la variable ECO_QA con DL2-DL1, aunque no es estadísticamente significativa, la presencia de VC provoca que las diferencias entre la variable ECO_QA con DL2-DL1 sean mayores, y que a mayor QA, mayor será la diferencia entre estas mediciones. Por el contrario, en aquellos pacientes que no tienen VC se observa una relación inversa, a mayor diferencia entre ECO_QA con DL2-DL1 menor QA, y por tanto, menos variabilidad en los datos obtenidos entre estas mediciones. Por lo tanto, todos estos datos sugieren que la variable VC actúa como una variable modificadora del efecto entre estas variables, y por lo tanto, afectan a la determinación del QA por ED y TD.

En la bibliografía consultada, el efecto que tienen las VC en las FAV ha sido poco estudiado. La información hallada se limita al efecto que tienen en la maduración de estos accesos vasculares, siendo una de las causas más comunes de fallo de maduración porque provocan un déficit en la vasodilatación venosa secundaria a la existencia de circulación venosa colateral1,15. No se ha encontrado bibliografía sobre el efecto que tienen las VC en la determinación del QA mediante métodos de segunda generación (métodos dilucionales y ED). Sin embargo, si existen estudios sobre el efecto que tienen las VC en los métodos de monitorización de primera generación, donde la presencia de VC en la monitorización y vigilancia de la presión de la fístula, disminuye la sensibilidad de esta técnica para la detección de estenosis en la FAV distales1,16,17.

Todos estos datos sugieren que la presencia de VC influye en la monitorización del acceso vascular, afectando tanto a métodos de primera como de segunda generación. Por ello, para evitar el efecto que las VC tienen en algunos métodos de monitorización, es preciso la implementación de programas de seguimiento del acceso vascular que incluyan el uso combinado de métodos de primera generación (exploración física, métodos manuales, recirculación, KTV/KT, problemas durante la sesión y presiones de la fístula) junto con métodos de segunda generación (ED y métodos dilucionales). Gracias a estos programas, se logrará una vigilancia eficiente del acceso vascular que aumentará la supervivencia de las FAV nativas1,14.

Las limitaciones de este estudio son de tipo metodológico: El tamaño muestral fue pequeño, matizando que el número de mujeres en dicha muestra es escaso. Asimismo, el número de estudios que analizan el efecto de las VC en los diferentes métodos de monitorización es pequeño. Por estos motivos, creemos que son necesarios nuevos estudios que evalúen la relación existente entre las VC con las mediciones del QA obtenidos por ED y TD.

En conclusión, se observa correlación entre la medición del flujo del acceso vascular obtenida por ecografía doppler y termodilución. Esta relación se ve modificada por la presencia de venas colaterales. Para mitigar el efecto de las venas colaterales en la monitorización de las fistulas arteriovenosas nativas es necesario aplicar programas de vigilancia del acceso vascular que incluyan métodos de monitorización de primera y segunda generación.

Conflicto de intereses

Los autores declaran no tener conflicto de intereses.

Los autores declaran no haber recibido financiación alguna.

BIBLIOGRAFÍA

1. Ibeas J, Roca-Tey R , Vallespín J, Moreno T, Moñux G , Martí –Monrós A, et al. Guía clínica española del acceso vascular para hemodiálisis. Nefrología 2017;37:1-177.

2. Sánchez Tocino ML, López Gonzalez A, Sánchez Martín A, Villoria-Gonzalez S, Turrión cabezas V, Gascón Colorada M, et al. Efecto de la dirección de la aguja arterial en la medición del flujo del acceso vascular con métodos dilucionales. Enferm Nefrol 2017;20(4):305-15.

3. Fontseré N, Mestres G, Barrufet M, Burrel M, Vera M, Arias M, et al. Aplicación práctica de la termodilución frente a la ecografía_Doppler en la medición del flujo del acceso vascular. Nefrología 2013;33:325-32.

4. Roca-Tey R, Rivas A, Samon R, Ibrik O, Viladoms J. Study of vascular access (VA) by color Doppler ultrasonography (CDU). Comparison between Delta-H and CDU methods in measuring VA blood flow rate. Nefrologia 2005;25:678-83.

5. Guedes-Marques M, Ibeas J, Botelho C, Maia P, Ponce P. Doppler ultrasound: a powerful tool for vascular access surveillance. Semin Dial 2015;28:206-10.

6. Sacquépée M, Tivollier JM, Doussy Y, Quirin N, Valéry JC, Cantin JF. Comparison of different techniques of hemodialysis vascular access flow evaluation: blood temperature monitoring thermodilution and Doppler debimetry. Nephrol Ther 2012;8:96-100.

7. Sánchez Tocino ML, López González A, Villoria González S, González Sánchez MI, García Macías M, González Horna A, et al. Validación del método inverso para la determinación del flujo del acceso con termodiclución. Nefrologia 2022;42(1):56-64.

8. Martín Osorio MD, Parada López I, Barquero Ruano RM, Rodríguez Peña MJ, Uguet Canal M, Palacios García G. Medición del flujo del acceso vascular mediante biocontrol de temperatura BTM comparado con técnica de dilución por ultrasonidos. Libro de comunicaciones XXXVI Congreso Nacional SEDEN;2011 Oct 19-22; Sevilla, España; 2011. p. 182-85.

9. Sánchez-Tocino ML, López-González A, Villoria-González S, González-Sánchez, Puente.González AS. Variabilidad intramétodo en medidas del flujo del acceso vascular con termodilución: ¿Un enemigo en los programas de seguimiento?. Enferm Nefrol 2020;23(4):353-60.

10. Schneditz D, Wang E, Levin NW. Validation of haemodialysis recirculation and access blood flow measured by thermodilution. Neprhrol Dial Transplant 1999;14:376-83.

11. Gómez Coca S, Ortiz Fernández S, Villamor Ruiz, E. M. (2018). Técnica de punción idónea de la fistula arteriovenosa según la evidencia científica. Trances 2018;10(2):187-98.

12. Ibeas J, Iglesias R, Merino J, Rubiella C, Vallespin J, Vinuesa X. Manual de ecografía para la exploración del acceso vascular. 1ª ed. Iglesias R, Ibeas J, Vallespin J, editor. Madrid (España): EDTNA/ERCA;2019.

13. Aragoncillo I. Ecografía Doppler en el acceso vascular. Nefrología al día [Internet]. 2021 [consultado 29 Jun 2022].Disponible en: https://www.nefrologiaaldia.org/291.

14. Muchayi T, Salman L, Tamariz LJ, Asif A, Rizvi A, Lenz O, et al. A meta-analysis of randomized clinical trials assessing hemodialysis access thrombosis based on access flow monitoring: where do we stand?. Semin Dial 2015;28(2):23-9.

15. Sheth R, Freed R, Tavri S, Huynh T, Irani Z. Nonmaturing Fistulae: Epidemiology, Possible Interventions, and outcomes. Tech Vasc Interv Radiol 2017;20(1):31-7.

16. Vascular Access 2006 Work Group (NFK/DOQI). Clinical practice guidelines for vascular access. Am J Kidney Dis 2006;48(Suppl 1):S176-247.

17. Caro P, Delgado R, Dapena F, Aguilera A. La utilidad de la presión intra-acceso. Nefrología 2004;24:357-63.

Este artículo se distribuye bajo una Licencia Creative Commons Atribución–NoComercial 4.0 Internacional.
https://creativecommons.org/licenses/by-nc/4.0/